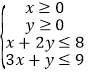
已知实数<img alt="1" src="/tk/20210511/1620712817956.png"/>满足不等式组<img alt=&
已知实数
满足不等式组
,则
的最大值是______.
12
【解析】分析:画出不等式组
表示的可行域,平移
,结合所画可行域,可求得
的最大值.
详解:

作出不等式组
表示的平面区域如阴影部分,分析知,当
时,平移直线
,由图可得直线经过点
时,
取得最大值,且
,故答案为
.
版权声明
声明:有的资源均来自网络转载,版权归原作者所有,如有侵犯到您的权益
请联系本站我们将配合处理!
